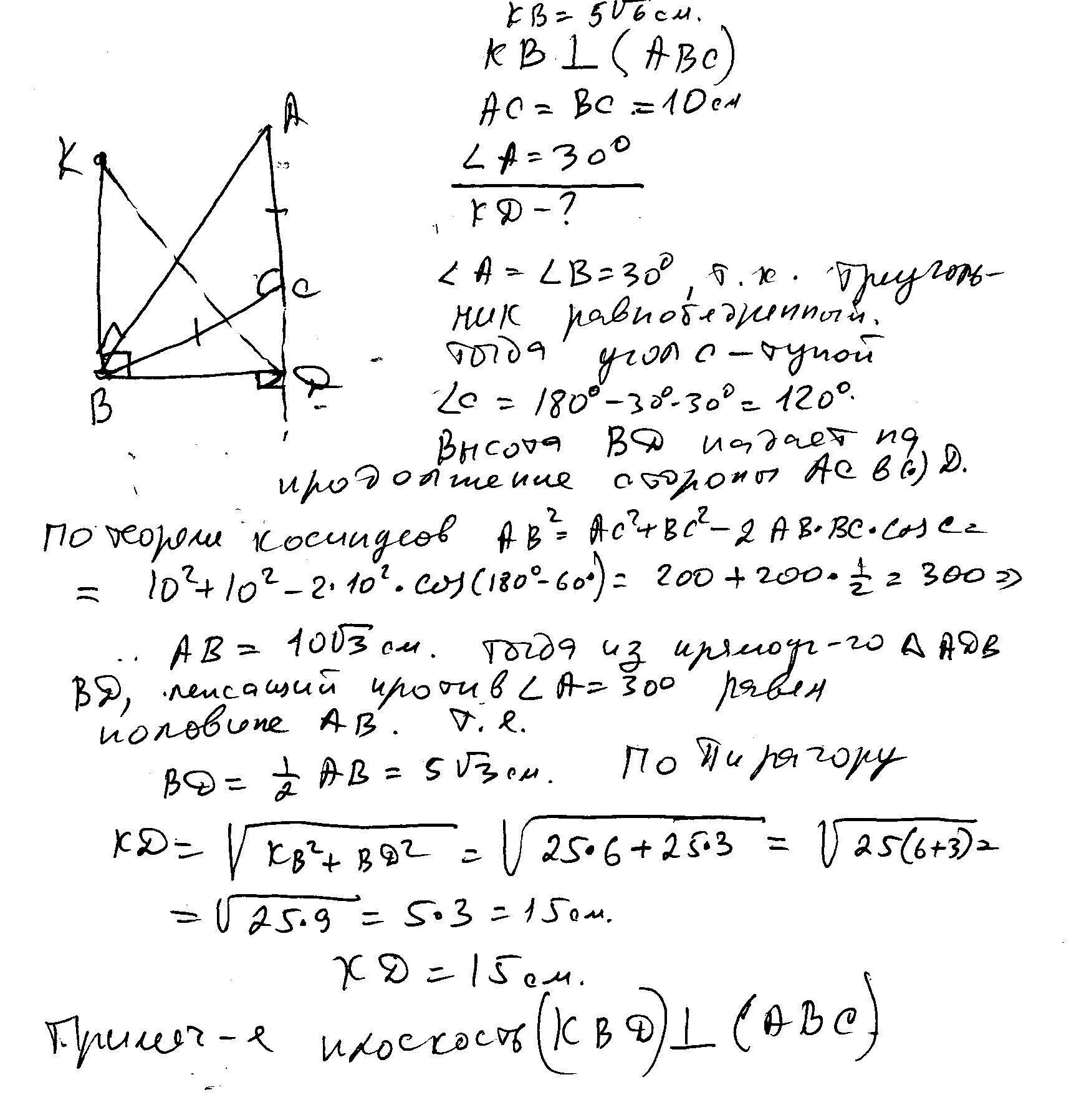
Ac bk найти угол abc