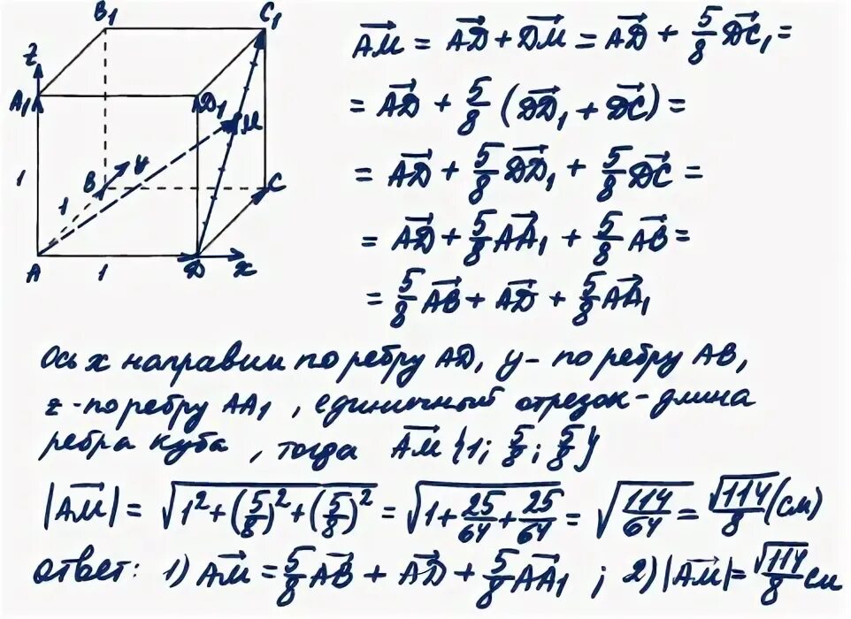
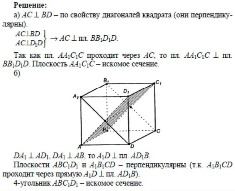
Abcda1b1c1d1 куб ad a