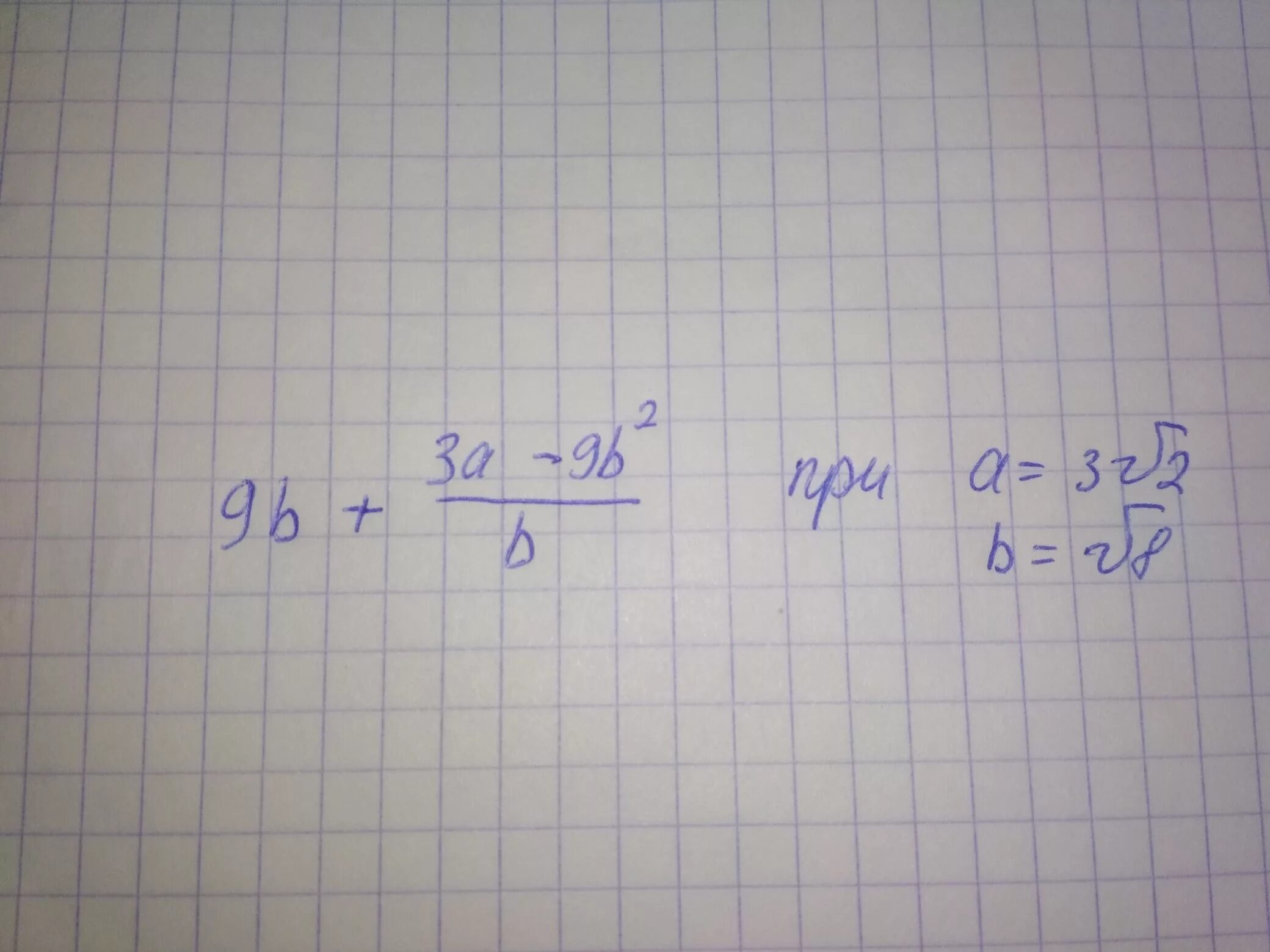
A9 a12 a18 при a 4