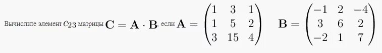
A b a b 7 вычислите