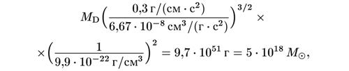
85 мин 1