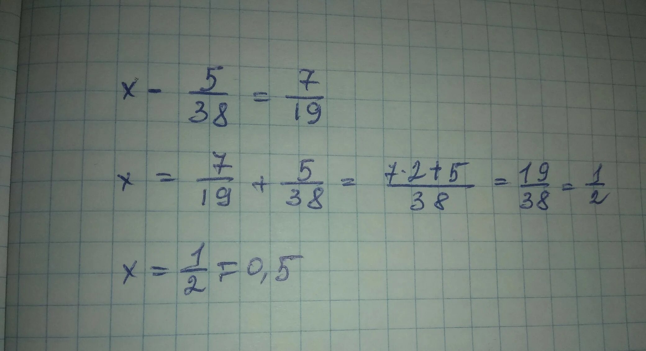
76 19 как решить