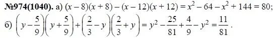
7 974