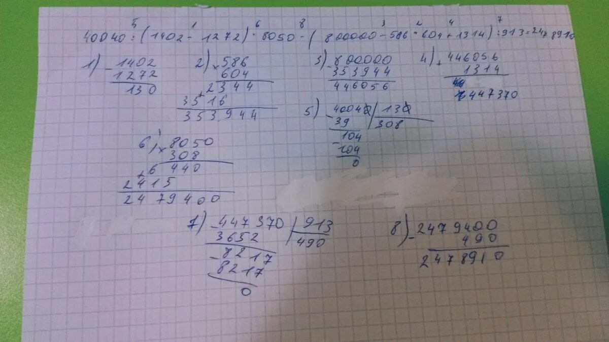
40 разделить 4 умножить на 3