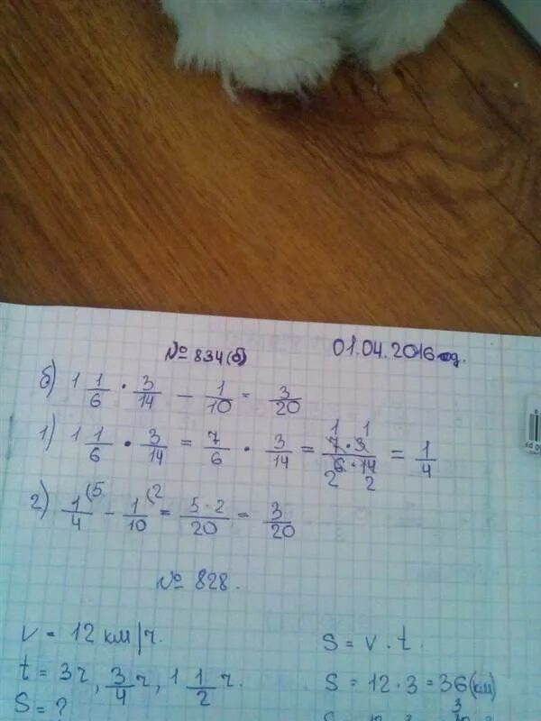
4 1 3 2.4