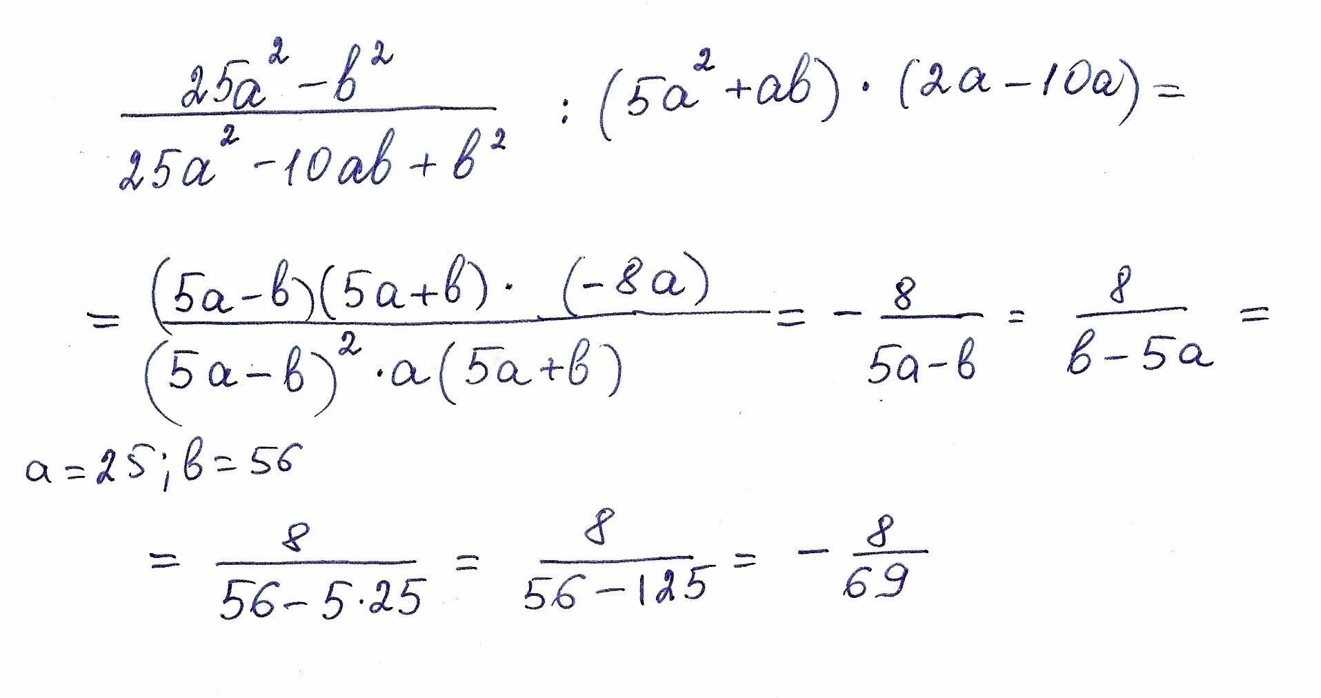
3 25 а2 1 а2 10а 25