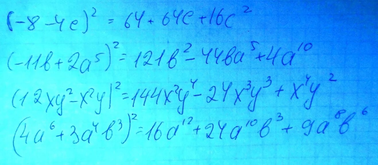
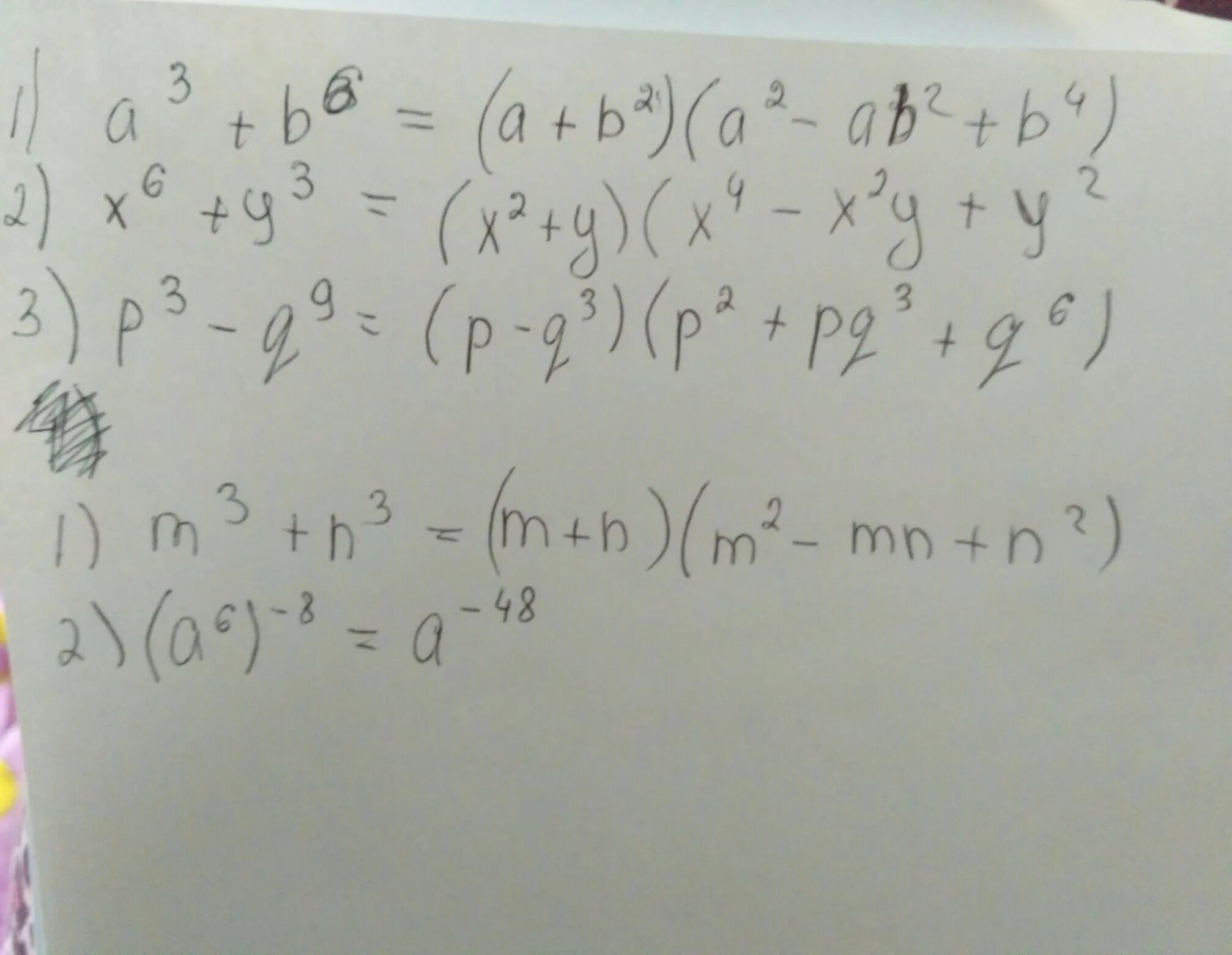
2x 3 в 6 степени