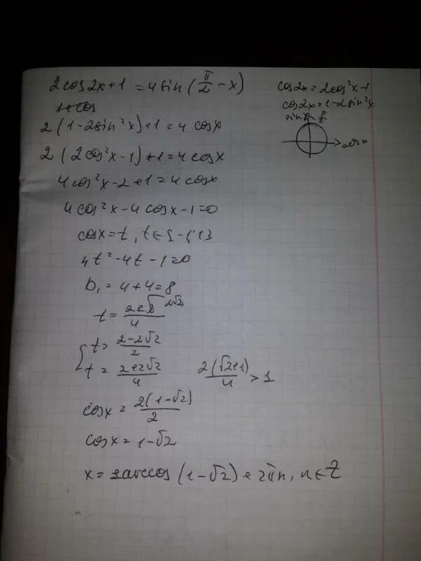
2sin п x 1