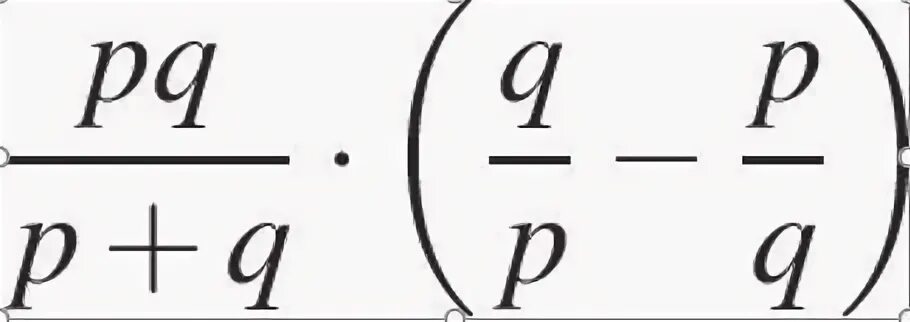
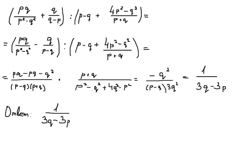
2p q