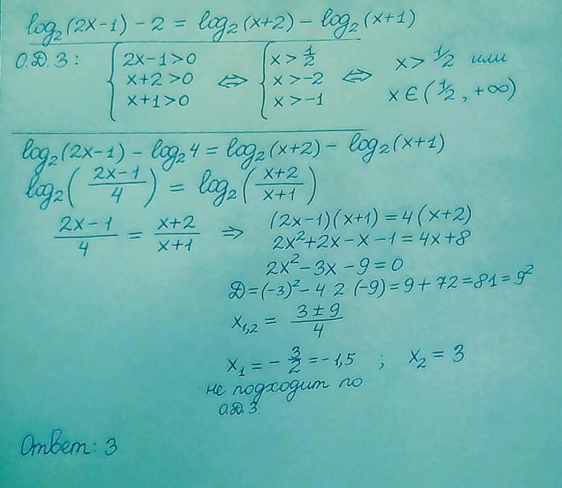
2 log2 x 1 2x 3