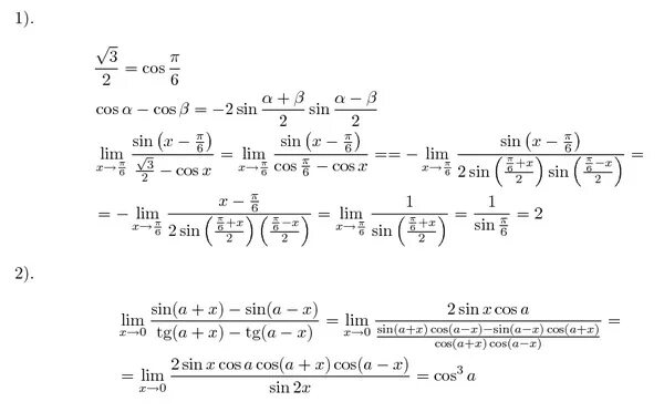
2 cos 3 pi 6