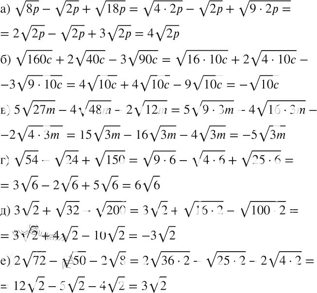
18 в корне в квадрате