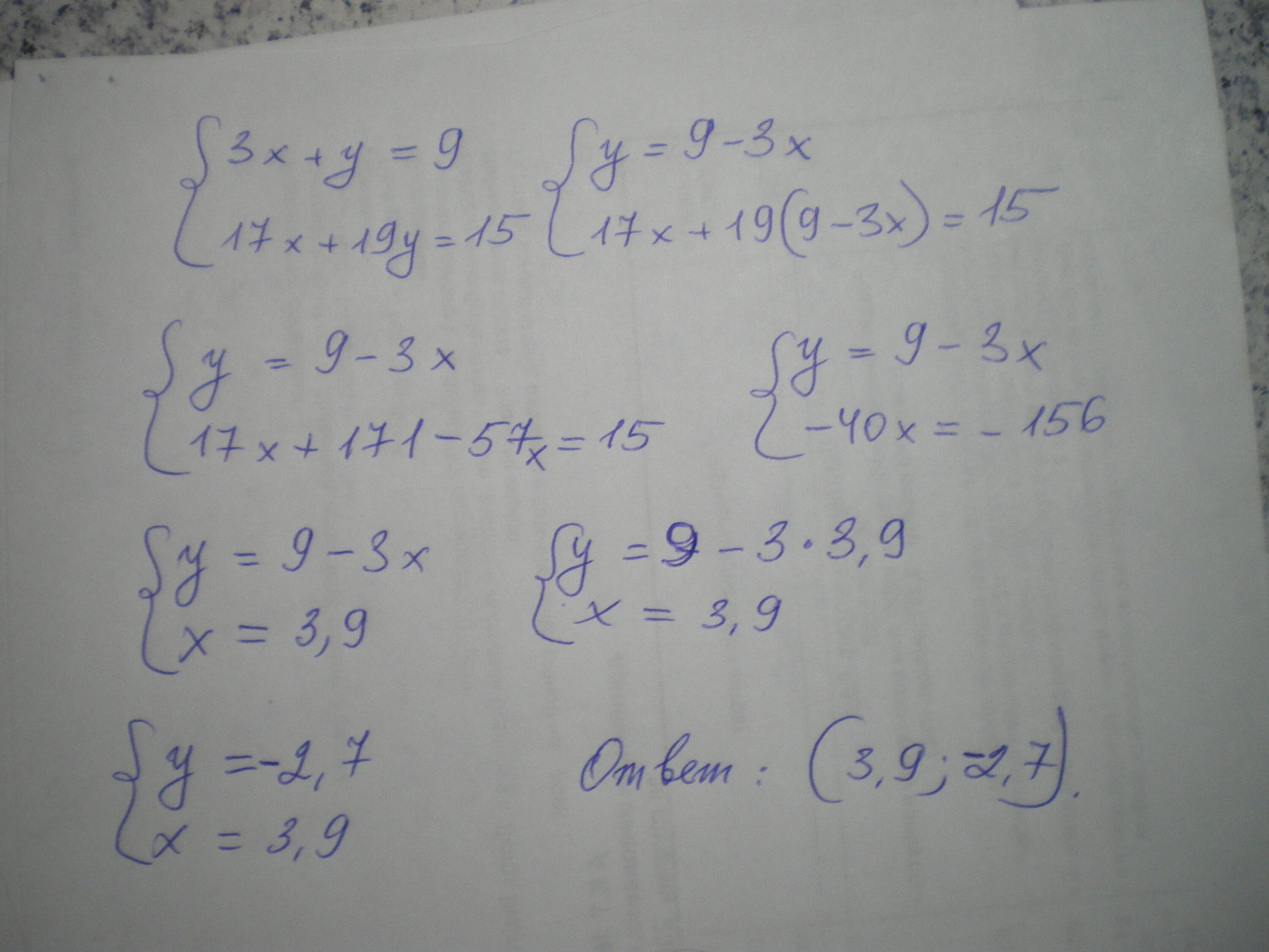
17 4 x 2 15 x