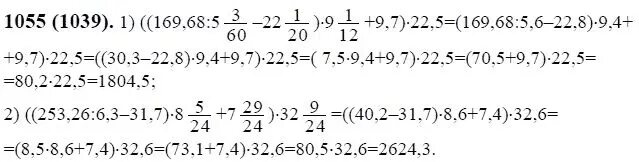
169 68 5 3 5