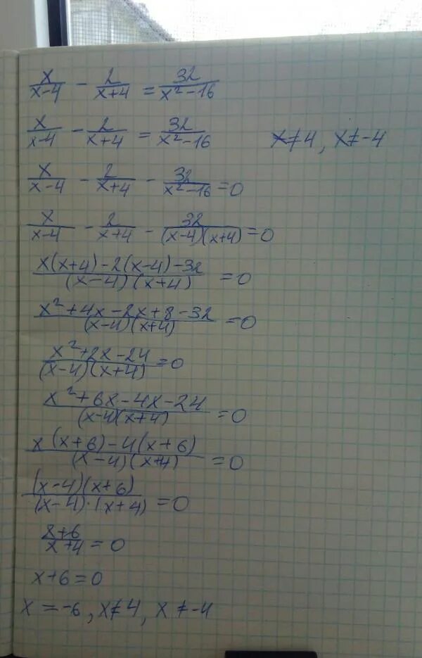
12 4 16 как решить