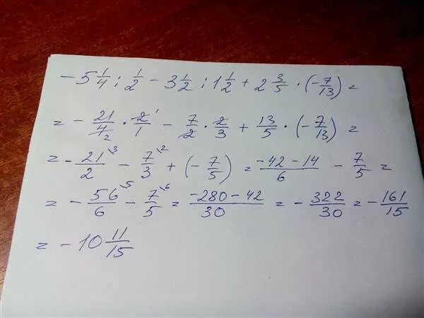
1 целая 1 4 в кубе