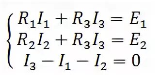
1 i i2 i3