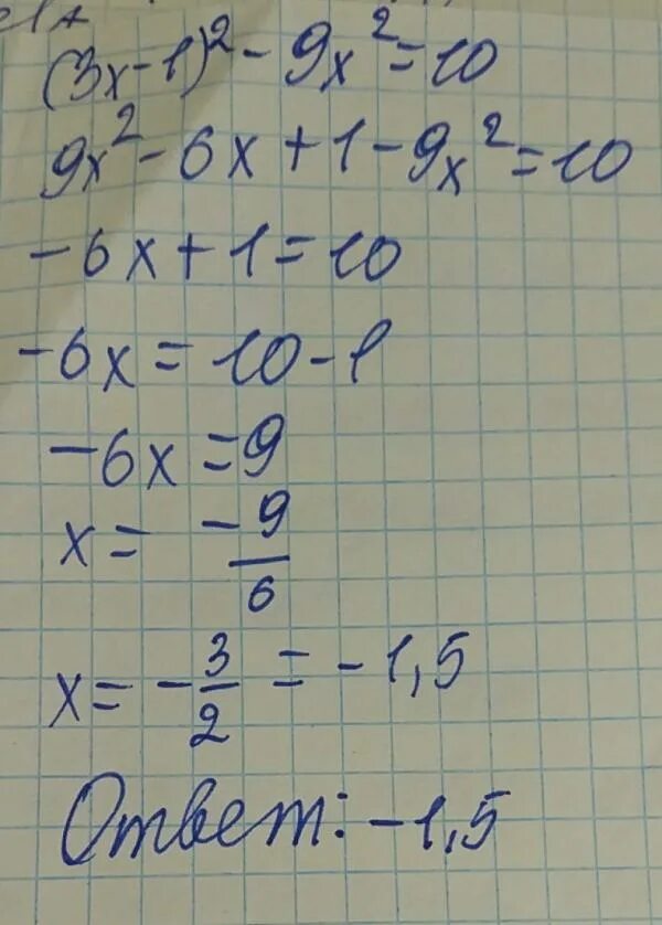
1 9 x 1