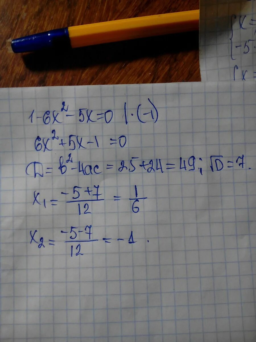
1 5х2 1 5х 0